Официальное опубликование правовых актов
ОФИЦИАЛЬНОЕ ОПУБЛИКОВАНИЕ
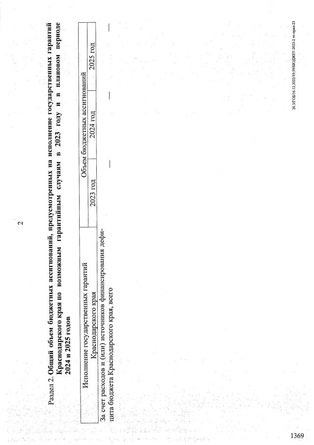
Закон Краснодарского края от 23.12.2022 № 4825-КЗ
"О бюджете Краснодарского края на 2023 год и на плановый период 2024 и 2025 годов"
Номер опубликования: 2300202212290022
Дата опубликования: 29.12.2022
Страница №1369 из 1369:
Увеличить