Официальное опубликование правовых актов
ОФИЦИАЛЬНОЕ ОПУБЛИКОВАНИЕ
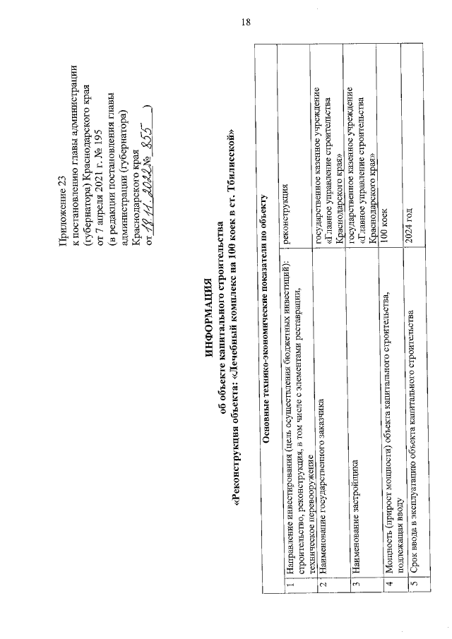
Постановление главы администрации (губернатора) Краснодарского края от 18.11.2022 № 855
"О внесении изменений в некоторые правовые акты главы администрации (губернатора) Краснодарского края"
Номер опубликования: 2300202211250015
Дата опубликования: 25.11.2022
Страница №31 из 49:
Увеличить