Официальное опубликование правовых актов
ОФИЦИАЛЬНОЕ ОПУБЛИКОВАНИЕ
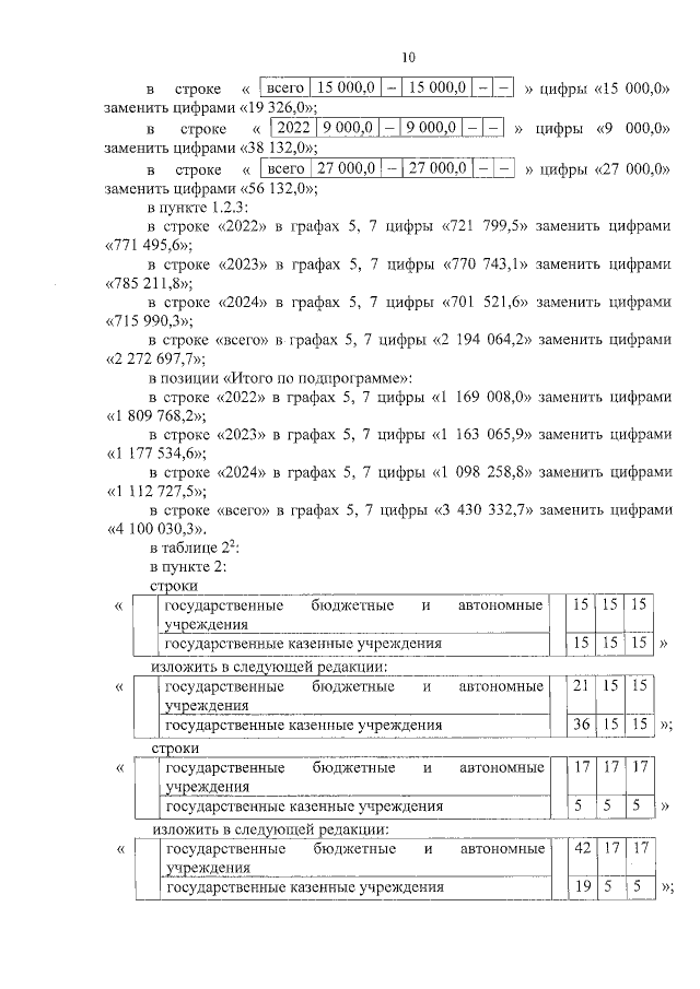
Постановление главы администрации (губернатора) Краснодарского края от 14.04.2022 № 183
"О внесении изменений в постановление главы администрации (губернатора) Краснодарского края от 16 ноября 2015 г. № 1039 "Об утверждении государственной программы Краснодарского края "Обеспечение безопасности населения"
Номер опубликования: 2300202204210002
Дата опубликования: 21.04.2022
Страница №11 из 29:
Увеличить