Официальное опубликование правовых актов
ОФИЦИАЛЬНОЕ ОПУБЛИКОВАНИЕ
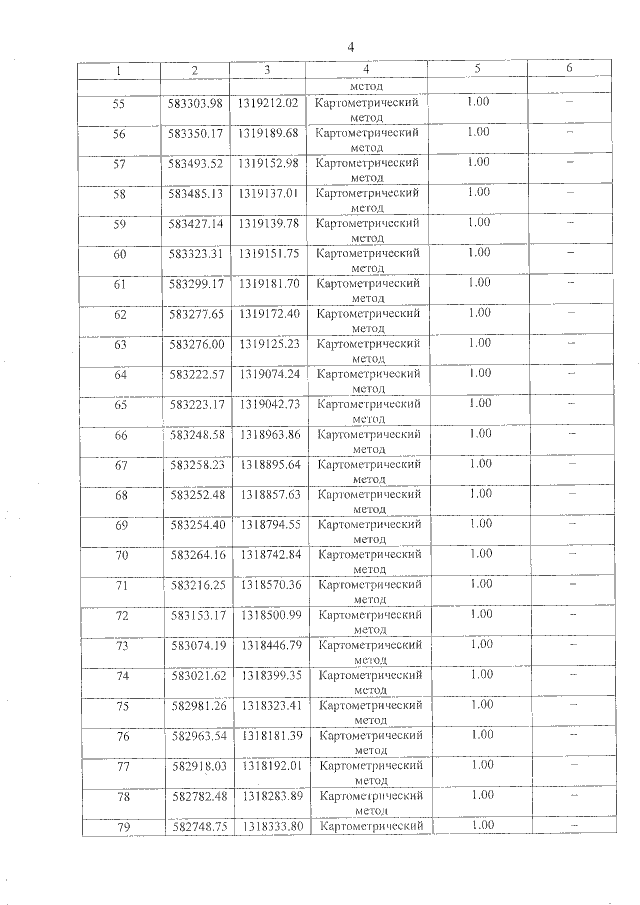
Постановление главы администрации (губернатора) Краснодарского края от 30.03.2022 № 131
"О создании особо охраняемой природной территории регионального значения лиманно-плавневого комплекса "Ахтарские соленые озера" в муниципальном образовании Приморско-Ахтарский район"
Номер опубликования: 2300202204050004
Дата опубликования: 05.04.2022
Страница №6 из 35:
Увеличить