Официальное опубликование правовых актов
ОФИЦИАЛЬНОЕ ОПУБЛИКОВАНИЕ
Постановление главы администрации (губернатора) Краснодарского края от 21.07.2021 № 417
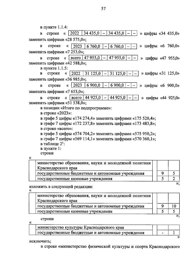
"Об осуществлении бюджетных инвестиций в отдельные объекты капитального строительства и о внесении изменений в постановление главы администрации (губернатора) Краснодарского края от 16 ноября 2015 г. № 1039 "Об утверждении государственной программы Краснодарского Края "Обеспечение безопасности населения"
Номер опубликования: 2300202107280020
Дата опубликования: 28.07.2021
Страница №74 из 93:
Увеличить