Официальное опубликование правовых актов
ОФИЦИАЛЬНОЕ ОПУБЛИКОВАНИЕ
Постановление главы администрации (губернатора) Краснодарского края от 29.06.2021 № 375
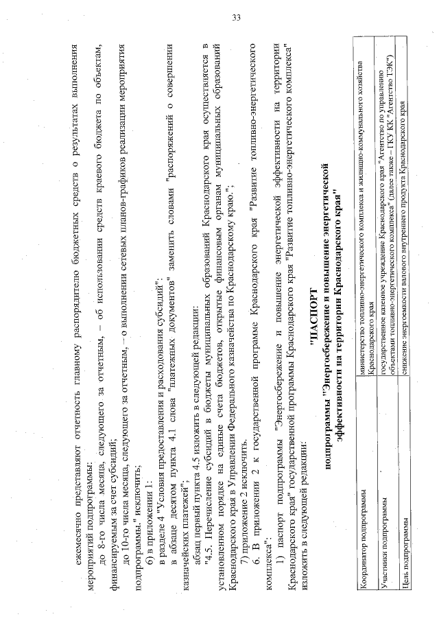
"О внесении изменений в постановление главы администрации (губернатора) Краснодарского края от 12 октября 2015 г. № 961 ”Об утверждении государственной программы Краснодарского края "Развитие топливно-энергетического комплекса" и об осуществлении бюджетных инвестиций в объекты капитального строительства"
Номер опубликования: 2300202107060001
Дата опубликования: 06.07.2021
Страница №35 из 58:
Увеличить