Официальное опубликование правовых актов
ОФИЦИАЛЬНОЕ ОПУБЛИКОВАНИЕ
Постановление главы администрации (губернатора) Краснодарского края от 26.03.2021 № 166
"Об осуществлении бюджетных инвестиций в отдельные объекты капитального строительства и о внесении изменений в некоторые нормативные правовые акты главы администрации (губернатора) Краснодарского края"
Номер опубликования: 2300202104020001
Дата опубликования: 02.04.2021
Страница №20 из 68:
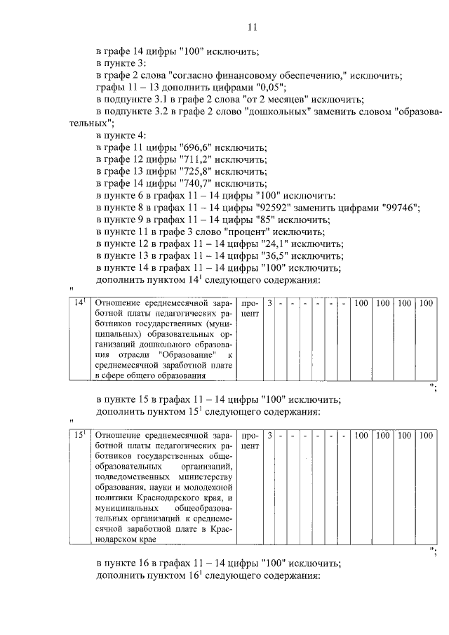
Увеличить