Официальное опубликование правовых актов
ОФИЦИАЛЬНОЕ ОПУБЛИКОВАНИЕ
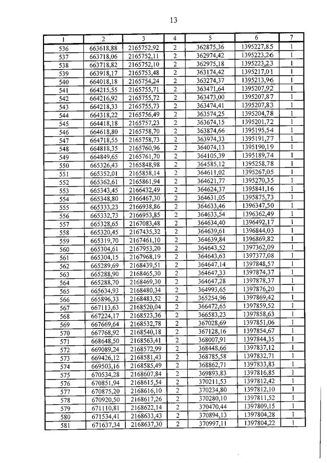
Закон Краснодарского края от 08.10.2019 № 4137-КЗ
"Об утверждении заключения Соглашения об описании местоположения границы между Ростовской областью и Краснодарским краем"
Номер опубликования: 2300201910150008
Дата опубликования: 15.10.2019
Страница №49 из 88:
Увеличить