Официальное опубликование правовых актов
ОФИЦИАЛЬНОЕ ОПУБЛИКОВАНИЕ
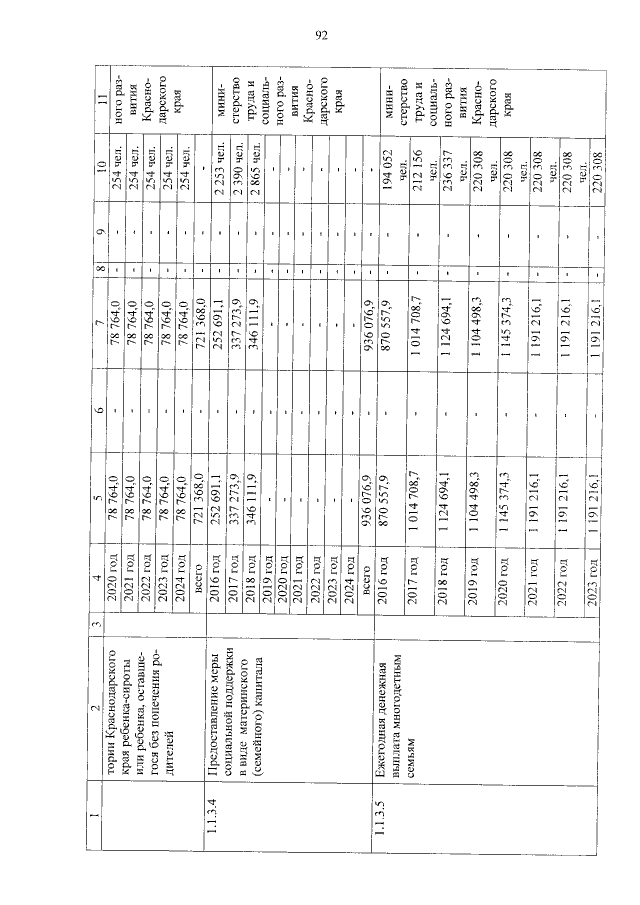
Постановление главы администрации (губернатора) Краснодарского края от 26.07.2019 № 458
"О внесении изменений в постановление главы администрации (губернатора) Краснодарского края от 5 октября 2015 г. № 938 "Об утверждении государственной программы Краснодарского края "Социальная поддержка граждан"
Номер опубликования: 2300201908020003
Дата опубликования: 02.08.2019
Страница №93 из 115:
Увеличить