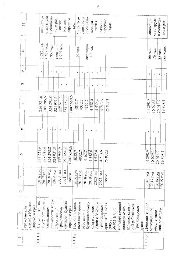
Постановление главы администрации (губернатора) Краснодарского края от 20.03.2019 № 120
"О внесении изменений в постановление главы администрации (губернатора) Краснодарского края от 5 октября 2015 г. № 938 "Об утверждении государственной программы Краснодарского края "Социальная поддержка граждан"
"О внесении изменений в постановление главы администрации (губернатора) Краснодарского края от 5 октября 2015 г. № 938 "Об утверждении государственной программы Краснодарского края "Социальная поддержка граждан"
Номер опубликования: 2300201903260004
Дата опубликования:
26.03.2019
