Официальное опубликование правовых актов
ОФИЦИАЛЬНОЕ ОПУБЛИКОВАНИЕ
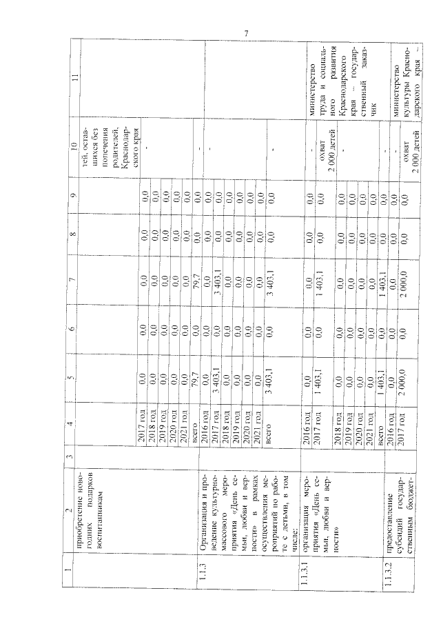
Постановление главы администрации (губернатора) Краснодарского края от 15.02.2019 № 69
"О внесении изменений в постановление главы администрации (губернатора) Краснодарского края от 12 октября 2015 г. № 964 "Об утверждении государственной программы Краснодарского края "Дети Кубани"
Номер опубликования: 2300201902210001
Дата опубликования: 21.02.2019
Страница №8 из 55:
Увеличить