Официальное опубликование правовых актов
ОФИЦИАЛЬНОЕ ОПУБЛИКОВАНИЕ
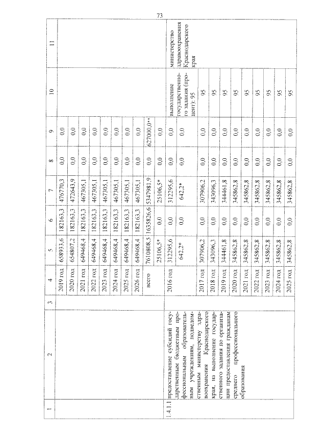
Постановление главы администрации (губернатора) Краснодарского края от 12.02.2018 № 50
"О внесении изменений в постановление главы администрации (губернатора) Краснодарского края от 12 октября 2015 года № 966 "Об утверждении государственной программы Краснодарского края "Развитие здравоохранения"
Номер опубликования: 2300201802190021
Дата опубликования: 19.02.2018
Страница №74 из 103:
Увеличить