Официальное опубликование правовых актов
ОФИЦИАЛЬНОЕ ОПУБЛИКОВАНИЕ
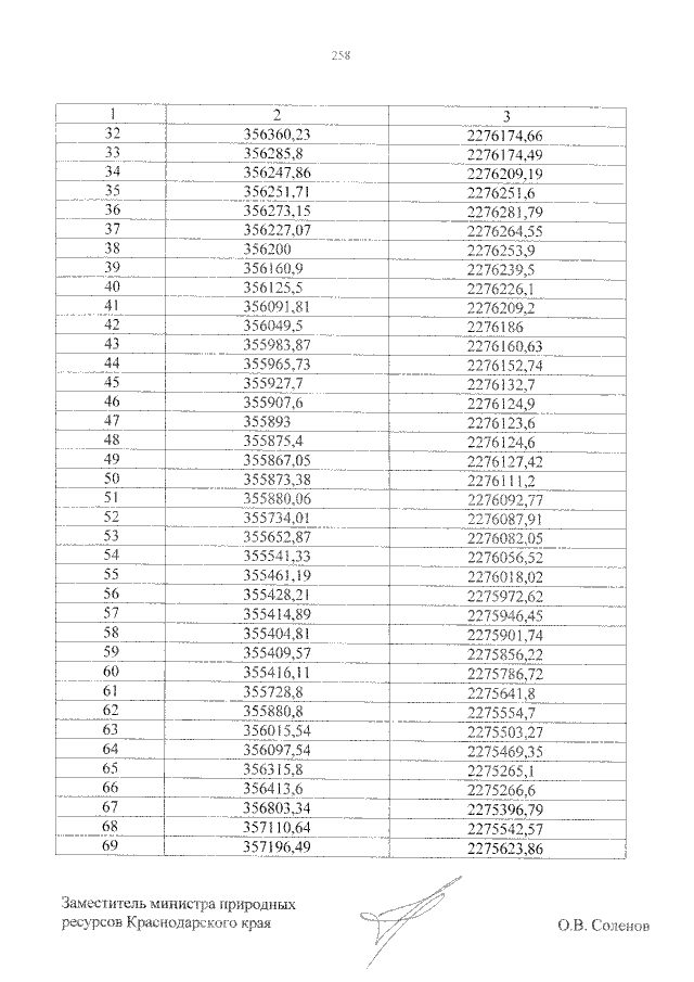
Постановление главы администрации (губернатора) Краснодарского края от 21.12.2017 № 1011
"О государственном природном зоологическом заказнике регионального значения "Псебайский"
Номер опубликования: 2300201712260019
Дата опубликования: 26.12.2017
Страница №273 из 273:
Увеличить