Официальное опубликование правовых актов
ОФИЦИАЛЬНОЕ ОПУБЛИКОВАНИЕ
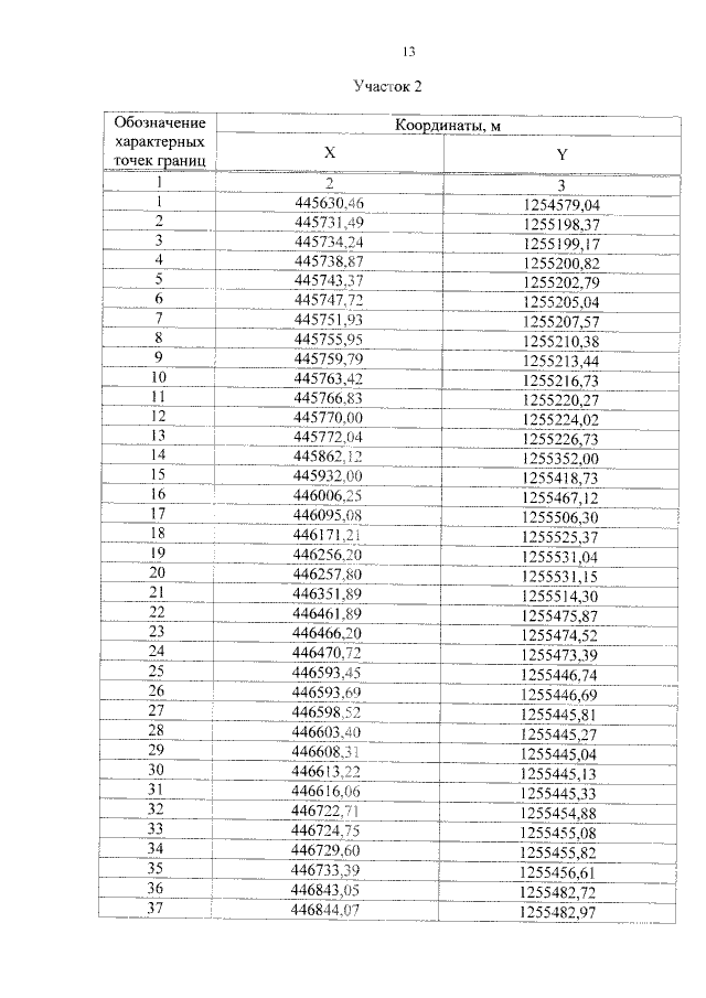
Постановление главы администрации (губернатора) Краснодарского края от 21.12.2017 № 1010
"Об утверждении Положения о государственном природном комплексном заказнике регионального значения "Большой Утриш" и его границ"
Номер опубликования: 2300201712260015
Дата опубликования: 26.12.2017
Страница №23 из 63:
Увеличить