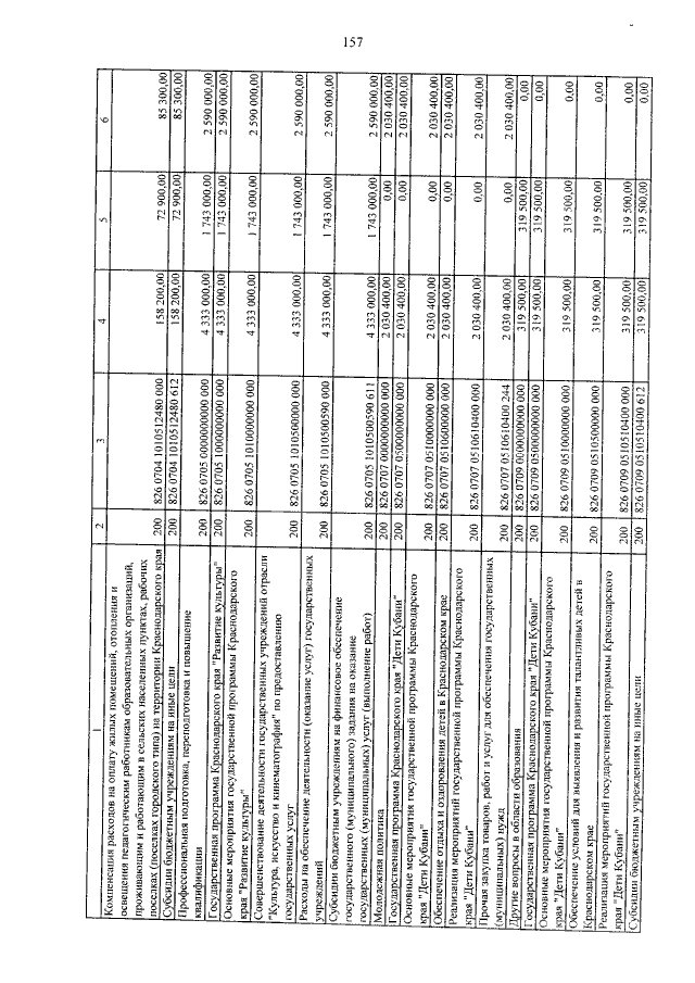
Постановление главы администрации (губернатора) Краснодарского края от 16.08.2017 № 597
"Об утверждении отчета об исполнении краевого бюджета за первое полугодие 2017 года"
"Об утверждении отчета об исполнении краевого бюджета за первое полугодие 2017 года"
Номер опубликования: 2300201708230001
Дата опубликования:
23.08.2017
