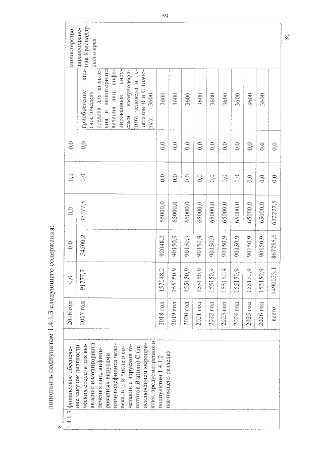
Постановление главы администрации (губернатора) Краснодарского края от 14.07.2017 № 534
"О внесении изменений в постановление главы администрации (губернатора) Краснодарского края от 12 октября 2015 года № 966 "Об утверждении государственной программы Краснодарского края "Развитие здравоохранения"
"О внесении изменений в постановление главы администрации (губернатора) Краснодарского края от 12 октября 2015 года № 966 "Об утверждении государственной программы Краснодарского края "Развитие здравоохранения"
Номер опубликования: 2300201707190002
Дата опубликования:
19.07.2017
