Официальное опубликование правовых актов
ОФИЦИАЛЬНОЕ ОПУБЛИКОВАНИЕ
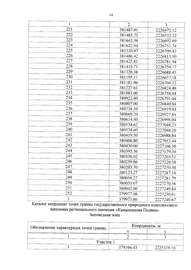
Постановление главы администрации (губернатора) Краснодарского края от 26.12.2016 № 1080
"Об утверждении Положения о государственном природном комплексном заказнике регионального значения "Камышанова Поляна" и его границ"
Номер опубликования: 2300201612300024
Дата опубликования: 30.12.2016
Страница №26 из 55:
Увеличить