Официальное опубликование правовых актов
ОФИЦИАЛЬНОЕ ОПУБЛИКОВАНИЕ
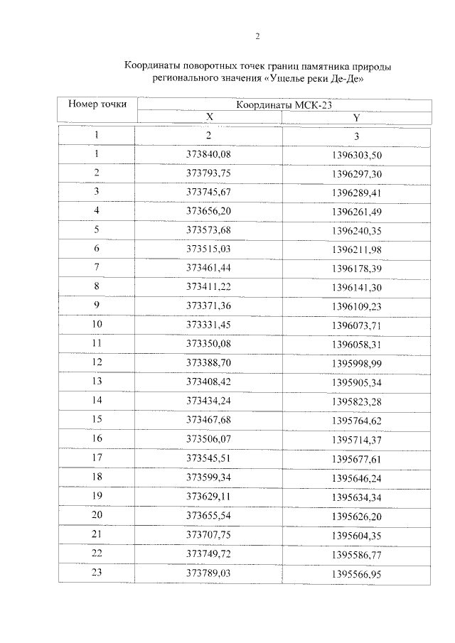
Постановление главы администрации (губернатора) Краснодарского края от 29.12.2016 № 1094
"О создании особо охраняемой природной территории регионального значения памятника природы "Ущелье реки Де-Де"
Номер опубликования: 2300201612300002
Дата опубликования: 30.12.2016
Страница №4 из 13:
Увеличить