Официальное опубликование правовых актов
ОФИЦИАЛЬНОЕ ОПУБЛИКОВАНИЕ
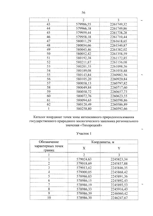
Постановление главы администрации (губернатора) Краснодарского края от 19.12.2016 № 1059
"О государственном природном зоологическом заказнике регионального значения "Тихорецкий"
Номер опубликования: 2300201612260001
Дата опубликования: 26.12.2016
Страница №70 из 152:
Увеличить