Официальное опубликование правовых актов
ОФИЦИАЛЬНОЕ ОПУБЛИКОВАНИЕ
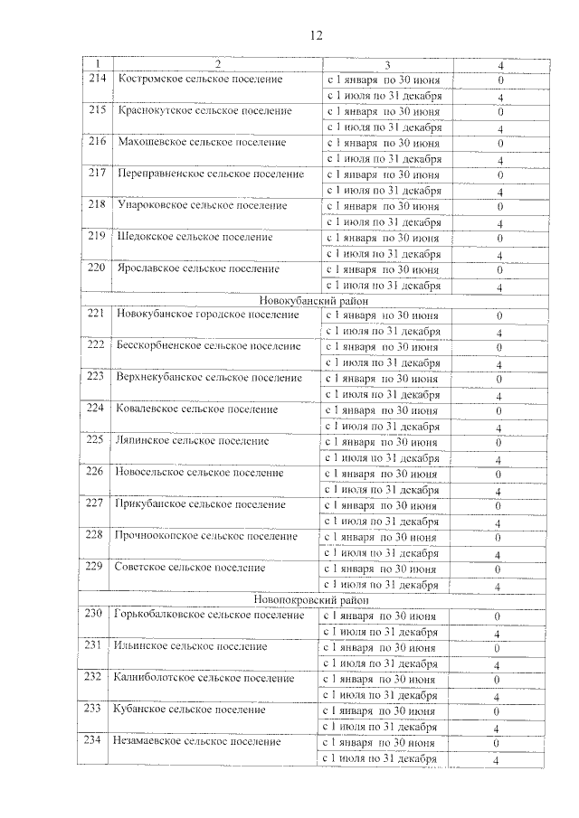
Постановление главы администрации (губернатора) Краснодарского края от 16.12.2016 № 1045
"Об утверждении предельных (максимальных) индексов изменения размера вносимой гражданами платы за коммунальные услуги в муниципальных образованиях Краснодарского края на 2017 год"
Номер опубликования: 2300201612220001
Дата опубликования: 22.12.2016
Страница №13 из 146:
Увеличить