Официальное опубликование правовых актов
ОФИЦИАЛЬНОЕ ОПУБЛИКОВАНИЕ
Постановление главы администрации (губернатора) Краснодарского края от 12.12.2016 № 1010
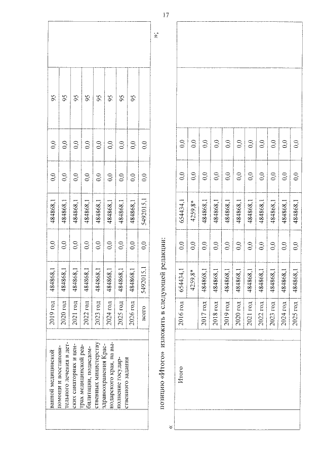
"О внесении изменений в постановление главы администрации (губернатора) Краснодарского края от 12 октября 2015 года № 966 "Об утверждении государственной программы Краснодарского края "Развитие здравоохранения"
Номер опубликования: 2300201612190013
Дата опубликования: 19.12.2016
Страница №18 из 36:
Увеличить