Официальное опубликование правовых актов
ОФИЦИАЛЬНОЕ ОПУБЛИКОВАНИЕ
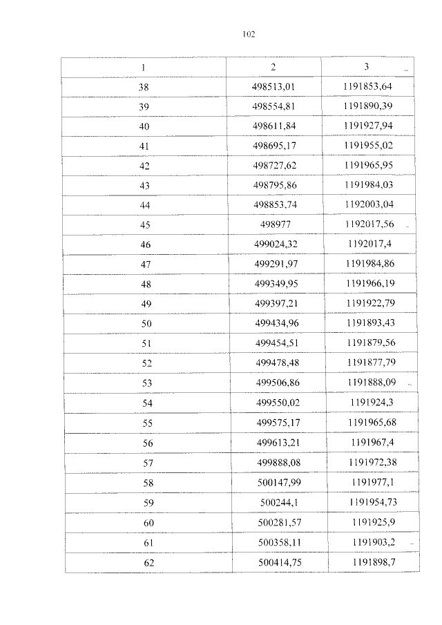
Постановление главы администрации (губернатора) Краснодарского края от 08.11.2016 № 868
"О внесении изменений в постановление главы администрации (губернатора) Краснодарского края от 12 августа 2015 года № 716 "Об утверждении Положения о государственном природном зоологическом заказнике регионального значения "Запорожско-Таманский" и его границ"
Номер опубликования: 2300201611140007
Дата опубликования: 14.11.2016
Страница №103 из 110:
Увеличить