Официальное опубликование правовых актов
ОФИЦИАЛЬНОЕ ОПУБЛИКОВАНИЕ
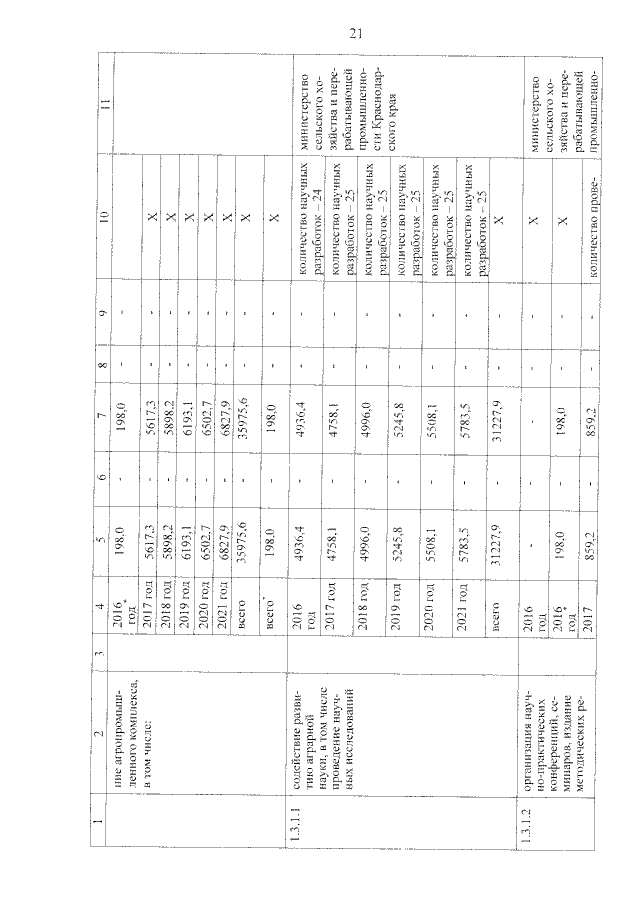
Постановление главы администрации (губернатора) Краснодарского края от 16.09.2016 № 714
"О внесении изменений в постановление главы администрации (губернатора) Краснодарского края от 5 октября 2015 года № 944 "Об утверждении государственной программы Краснодарского края "Развитие сельского хозяйства и регулирование рынков сельскохозяйственной продукции, сырья и продовольствия"
Номер опубликования: 2300201609220011
Дата опубликования: 22.09.2016
Страница №22 из 82:
Увеличить