Официальное опубликование правовых актов
ОФИЦИАЛЬНОЕ ОПУБЛИКОВАНИЕ
Постановление главы администрации (губернатора) Краснодарского края от 07.06.2016 № 391
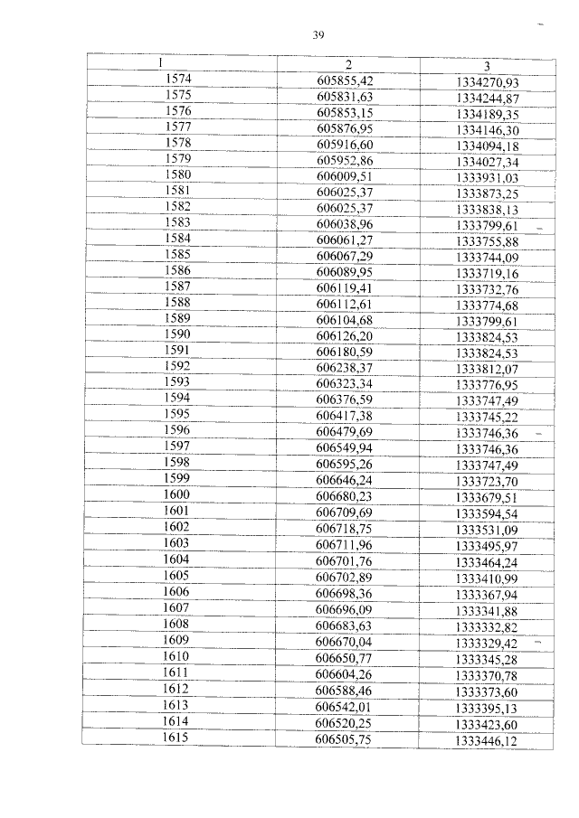
"Об утверждении границ и режима особой охраны особо охраняемой природной территории памятника природы регионального значения "Озеро Ханское"
Номер опубликования: 2300201606140014
Дата опубликования: 14.06.2016
Страница №41 из 97:
Увеличить