Официальное опубликование правовых актов
ОФИЦИАЛЬНОЕ ОПУБЛИКОВАНИЕ
Постановление главы администрации (губернатора) Краснодарского края от 28.04.2016 № 240
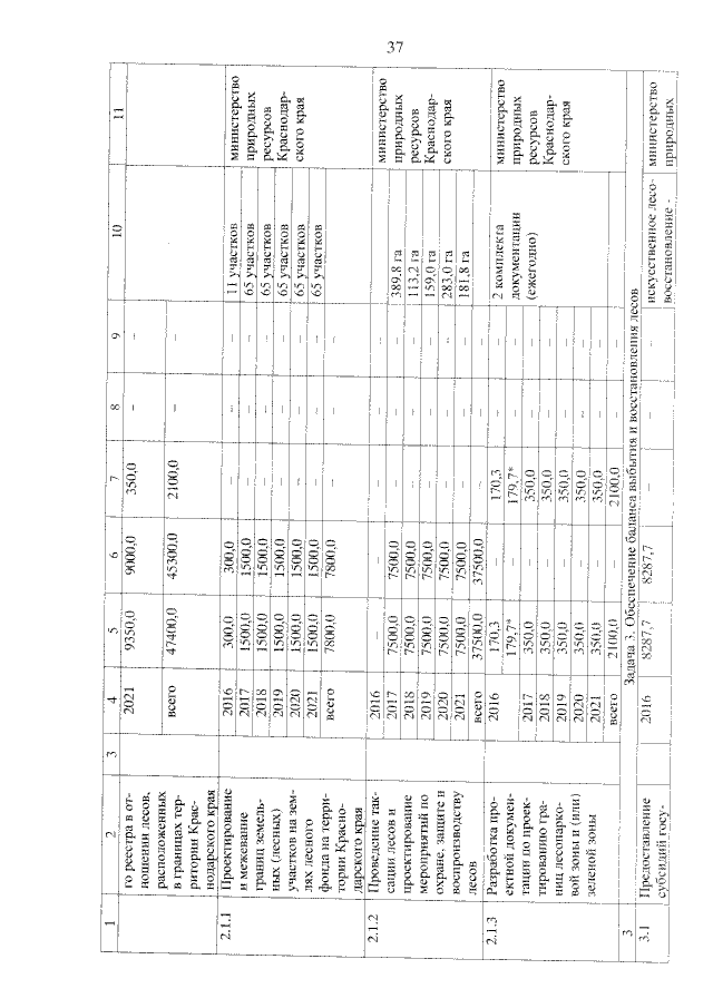
"О внесении изменений в постановление главы администрации (губернатора) Краснодарского края от 20 ноября 2015 года № 1057 "Об утверждении государственной программы Краснодарского края "Охрана окружающей среды, воспроизводство и использование природных ресурсов, развитие лесного хозяйства"
Номер опубликования: 2300201605040002
Дата опубликования: 04.05.2016
Страница №38 из 71:
Увеличить