Официальное опубликование правовых актов
ОФИЦИАЛЬНОЕ ОПУБЛИКОВАНИЕ
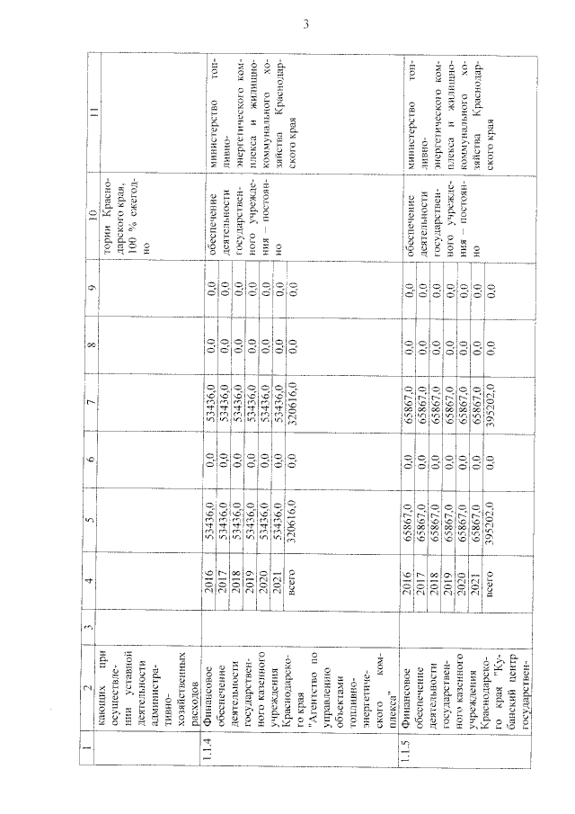
Постановление главы администрации (губернатора) Краснодарского края от 29.12.2015 № 1337
"О внесении изменений в постановление главы администрации (губернатора) Краснодарского края от 12 октября 2015 года № 967 "Об утверждении государственной программы Краснодарского края "Развитие жилищно-коммунального хозяйства"
Номер опубликования: 2300201512310024
Дата опубликования: 31.12.2015
Страница №64 из 67:
Увеличить