Официальное опубликование правовых актов
ОФИЦИАЛЬНОЕ ОПУБЛИКОВАНИЕ
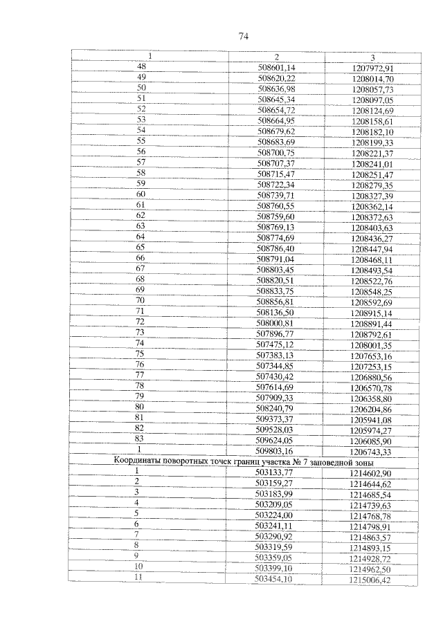
Постановление главы администрации (губернатора) Краснодарского края от 12.08.2015 № 716
"Об утверждении Положения о государственном природном зоологическом заказнике регионального значения "Запорожско-Таманский" и его границ"
Номер опубликования: 2300201508180011
Дата опубликования: 18.08.2015
Страница №85 из 194:
Увеличить