Официальное опубликование правовых актов
ОФИЦИАЛЬНОЕ ОПУБЛИКОВАНИЕ
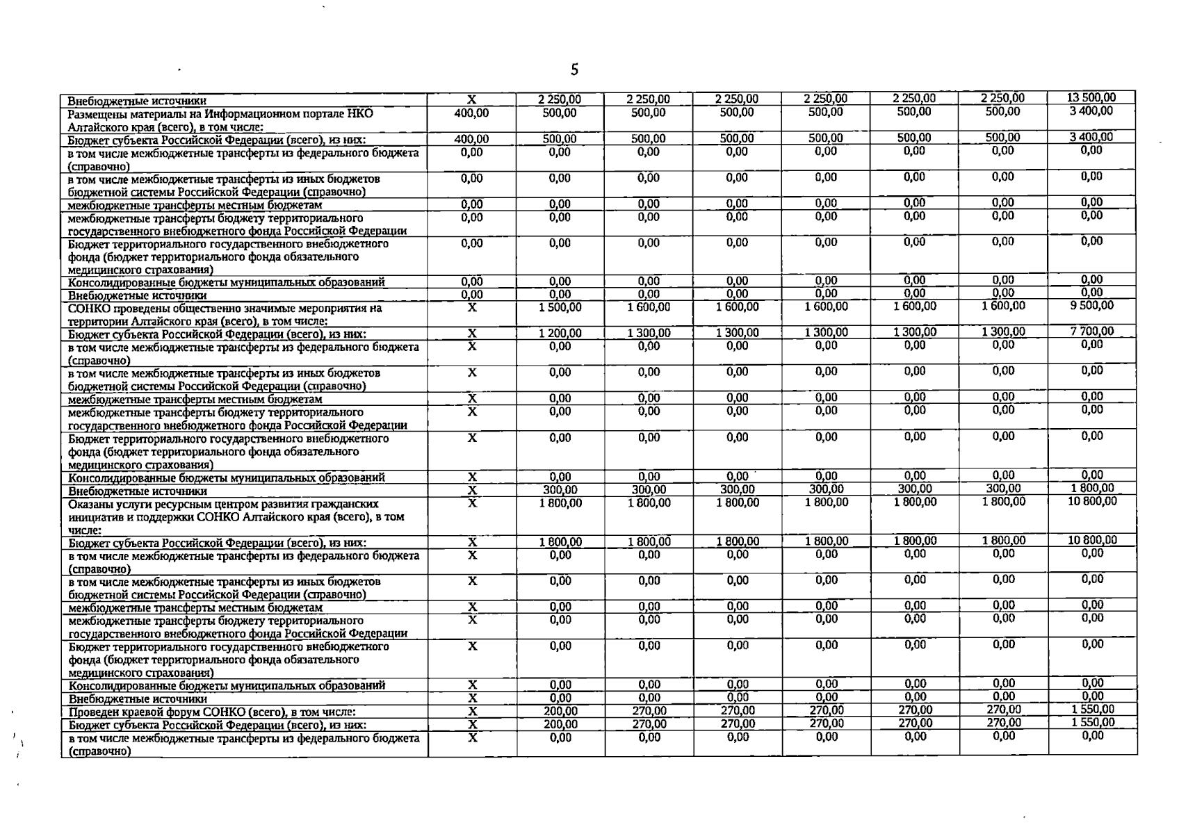
Приказ Администрации Губернатора и Правительства Алтайского края от 02.02.2026 № 9-а
"О внесении изменения в приказ Администрации Губернатора и Правительства Алтайского края от 29.12.2023 № 67-а"
(Зарегистрирован 03.02.2026 № 97)
Номер опубликования: 2201202602030002
Дата опубликования: 03.02.2026
Страница №5 из 12:
Увеличить