Официальное опубликование правовых актов
ОФИЦИАЛЬНОЕ ОПУБЛИКОВАНИЕ
Приказ Министерства промышленности и энергетики Алтайского края от 29.01.2026 № 25/7-ап
"О внесении изменений в приказ Министерства промышленности и энергетики Алтайского края от 20.12.2023 № 25/127-ап"
(Зарегистрирован 29.01.2026 № 73)
Номер опубликования: 2201202601290012
Дата опубликования: 29.01.2026
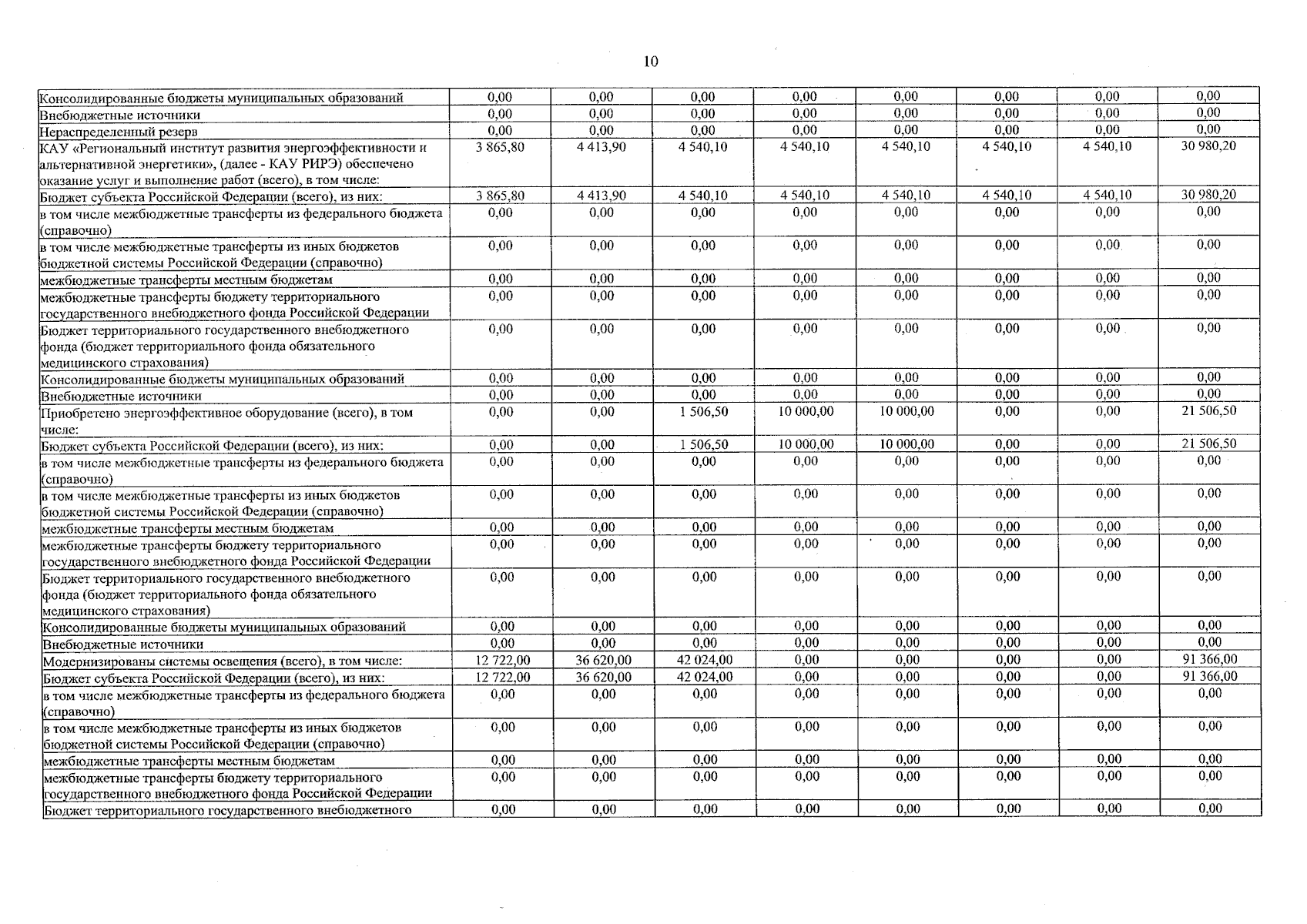
Страница №10 из 20:
Увеличить