Официальное опубликование правовых актов
ОФИЦИАЛЬНОЕ ОПУБЛИКОВАНИЕ
Приказ Министерства строительства и жилищно-коммунального хозяйства Алтайского края от 26.01.2026 № 33
"О внесении изменений в приказ Министерства строительства и жилищно-коммунального хозяйства Алтайского края от 19.08.2025 № 706"
(Зарегистрирован 26.01.2026 № 50)
Номер опубликования: 2201202601260006
Дата опубликования: 26.01.2026
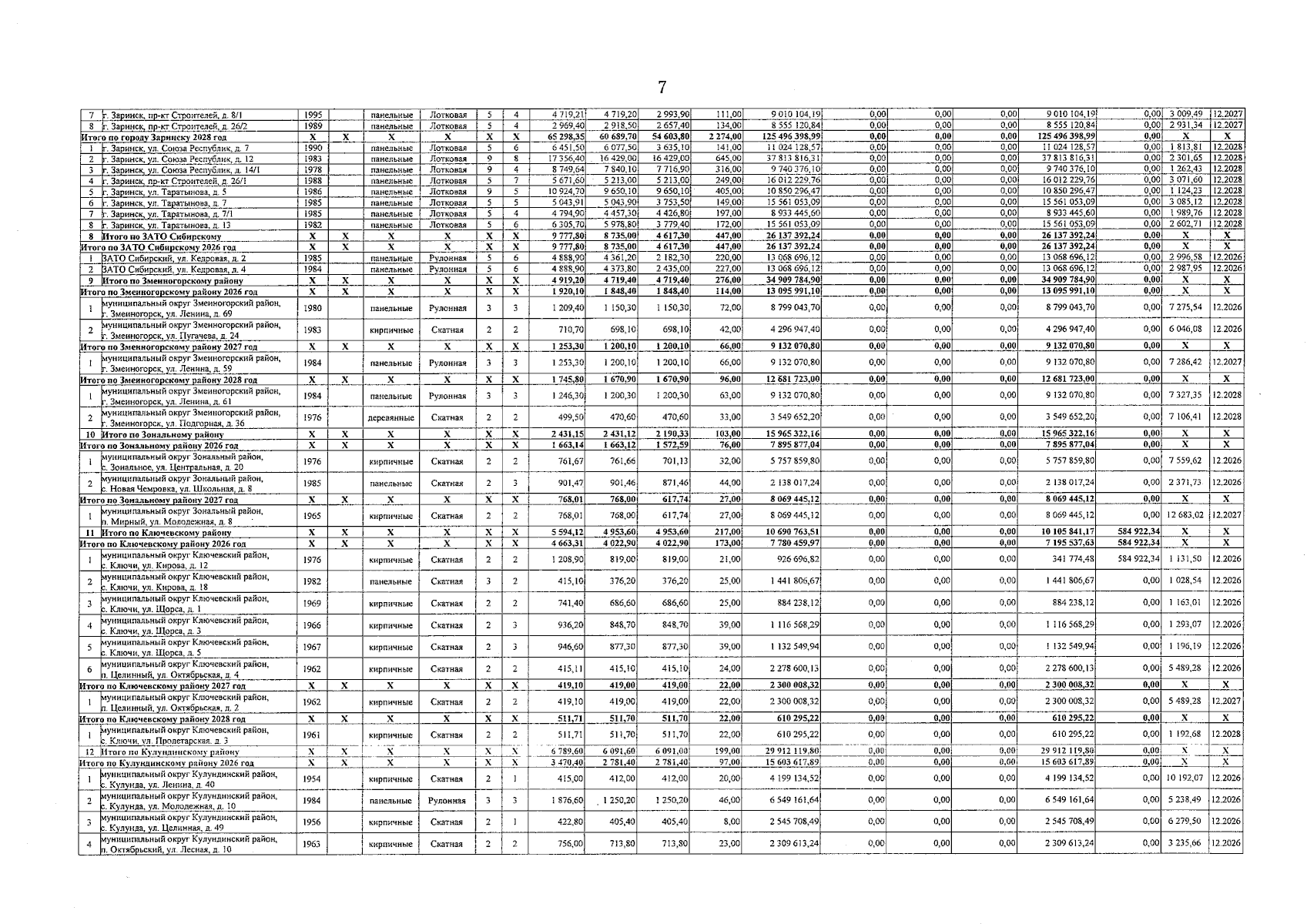
Страница №7 из 35:
Увеличить