Официальное опубликование правовых актов
ОФИЦИАЛЬНОЕ ОПУБЛИКОВАНИЕ
Приказ управления Алтайского края по развитию предпринимательства и рыночной инфраструктуры от 12.01.2026 № 43/Пр/1
"О внесении изменения в приказ управления Алтайского края по развитию предпринимательства и рыночной инфраструктуры от 13.11.2025 № 43/Пр/147"
(Зарегистрирован 12.01.2026 № 2)
Номер опубликования: 2201202601120001
Дата опубликования: 12.01.2026
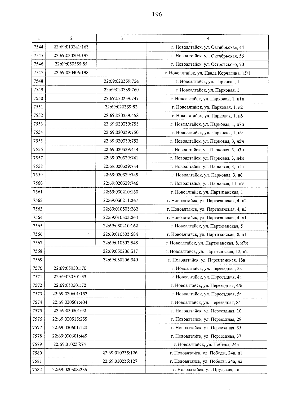
Страница №196 из 322:
Увеличить