Решение Управления Алтайского края по государственному регулированию цен и тарифов от 29.12.2025 № 623
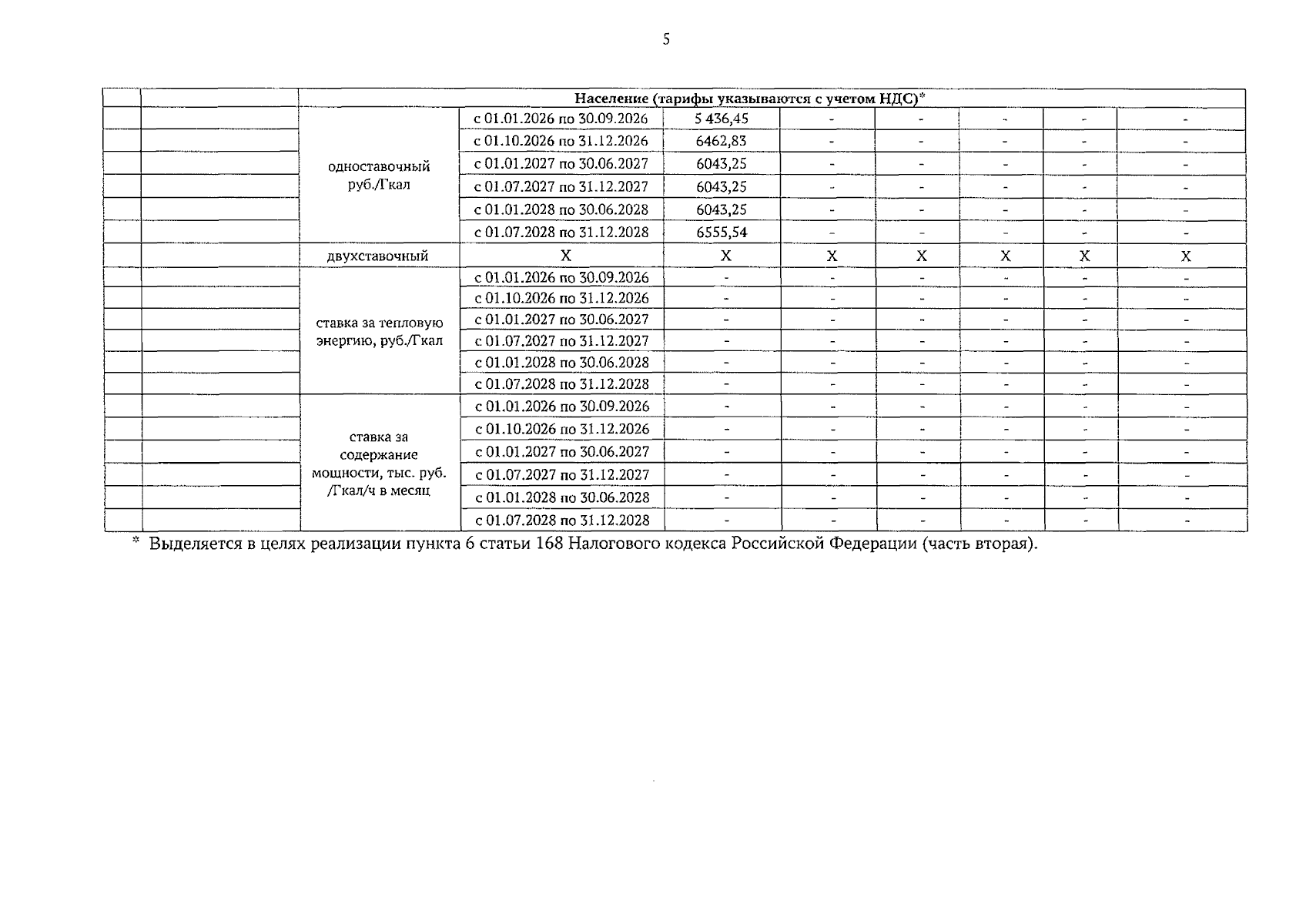
"Об установлении тарифов на тепловую энергию, поставляемую муниципальным казенным предприятием "Мамонтовское" Мамонтовского района Алтайского края потребителям Мамонтовского района Алтайского края, на 2026-2028 годы"
(Зарегистрирован 30.12.2025 № 2417)
"Об установлении тарифов на тепловую энергию, поставляемую муниципальным казенным предприятием "Мамонтовское" Мамонтовского района Алтайского края потребителям Мамонтовского района Алтайского края, на 2026-2028 годы"
(Зарегистрирован 30.12.2025 № 2417)
Номер опубликования: 2201202512310002
Дата опубликования:
31.12.2025
