Официальное опубликование правовых актов
ОФИЦИАЛЬНОЕ ОПУБЛИКОВАНИЕ
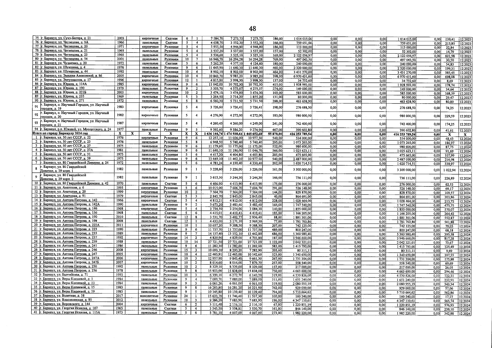
Приказ Министерства строительства и жилищно-коммунального хозяйства Алтайского края от 29.12.2025 № 1095
"О внесении изменений в приказ Министерства строительства и жилищно-коммунального хозяйства Алтайского края от 23.08.2022 № 621"
(Зарегистрирован 30.12.2025 № 2401)
Номер опубликования: 2201202512300008
Дата опубликования: 30.12.2025
Страница №48 из 67:
Увеличить