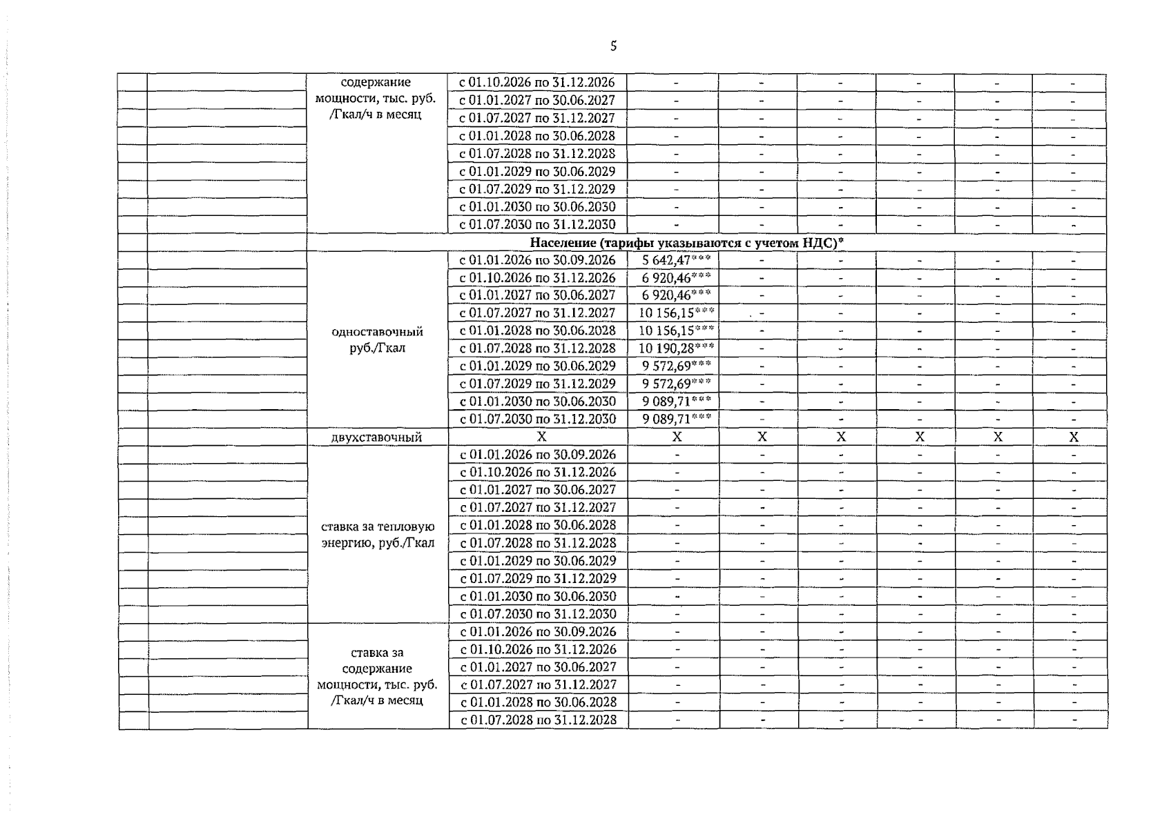
Решение Управления Алтайского края по государственному регулированию цен и тарифов от 19.12.2025 № 578
"Об установлении тарифов на тепловую энергию, поставляемую муниципальным казенным предприятием "Теплоцентраль" Немецкого национального района Алтайского края потребителям муниципального округа Немецкий национальный район Алтайского края, на 2026-2030 годы"
(Зарегистрирован 24.12.2025 № 2314)
"Об установлении тарифов на тепловую энергию, поставляемую муниципальным казенным предприятием "Теплоцентраль" Немецкого национального района Алтайского края потребителям муниципального округа Немецкий национальный район Алтайского края, на 2026-2030 годы"
(Зарегистрирован 24.12.2025 № 2314)
Номер опубликования: 2201202512240032
Дата опубликования:
24.12.2025
