Решение Управления Алтайского края по государственному регулированию цен и тарифов от 17.12.2025 № 380
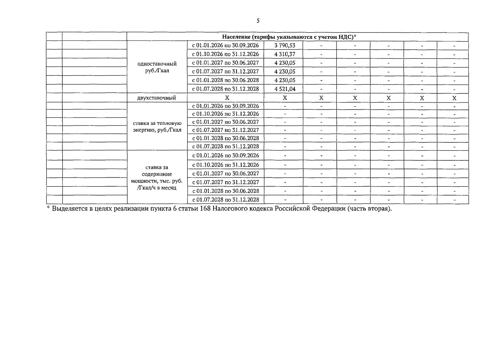
"Об установлении тарифов на тепловую энергию, поставляемую муниципальным бюджетным учреждением "Тепло" Заринского района потребителям Заринского района Алтайского края, на 2026-2028 годы"
(Зарегистрирован 19.12.2025 № 2087)
"Об установлении тарифов на тепловую энергию, поставляемую муниципальным бюджетным учреждением "Тепло" Заринского района потребителям Заринского района Алтайского края, на 2026-2028 годы"
(Зарегистрирован 19.12.2025 № 2087)
Номер опубликования: 2201202512190057
Дата опубликования:
19.12.2025
