Решение Управления Алтайского края по государственному регулированию цен и тарифов от 17.12.2025 № 388
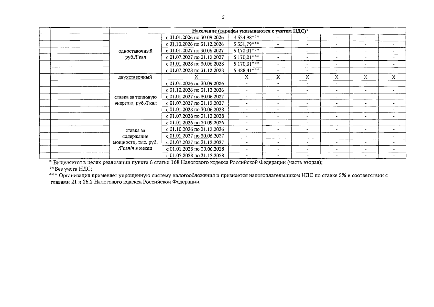
"Об установлении тарифов на тепловую энергию, поставляемую муниципальным унитарным предприятием "Теплосервис" Третьяковского района Алтайского края потребителям Третьяковского района Алтайского края, на 2026-2028 годы"
(Зарегистрирован 19.12.2025 № 2096)
"Об установлении тарифов на тепловую энергию, поставляемую муниципальным унитарным предприятием "Теплосервис" Третьяковского района Алтайского края потребителям Третьяковского района Алтайского края, на 2026-2028 годы"
(Зарегистрирован 19.12.2025 № 2096)
Номер опубликования: 2201202512190044
Дата опубликования:
19.12.2025
