Официальное опубликование правовых актов
ОФИЦИАЛЬНОЕ ОПУБЛИКОВАНИЕ
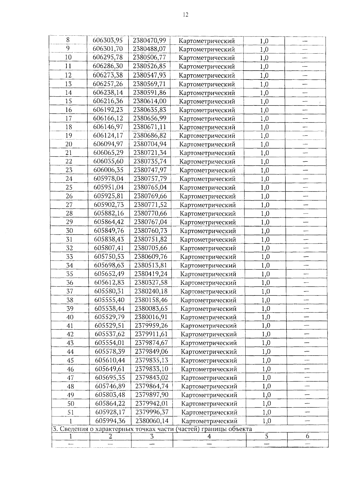
Приказ Министерства природных ресурсов и экологии Алтайского края от 18.12.2025 № 1423
"Об установлении зон санитарной охраны подземного источника питьевого и хозяйственно-бытового водоснабжения предприятия ИП Полонской Елены Николаевны (город Барнаул, Алтайский край)"
(Зарегистрирован 19.12.2025 № 2047)
Номер опубликования: 2201202512190017
Дата опубликования: 19.12.2025
Страница №12 из 14:
Увеличить