Официальное опубликование правовых актов
ОФИЦИАЛЬНОЕ ОПУБЛИКОВАНИЕ
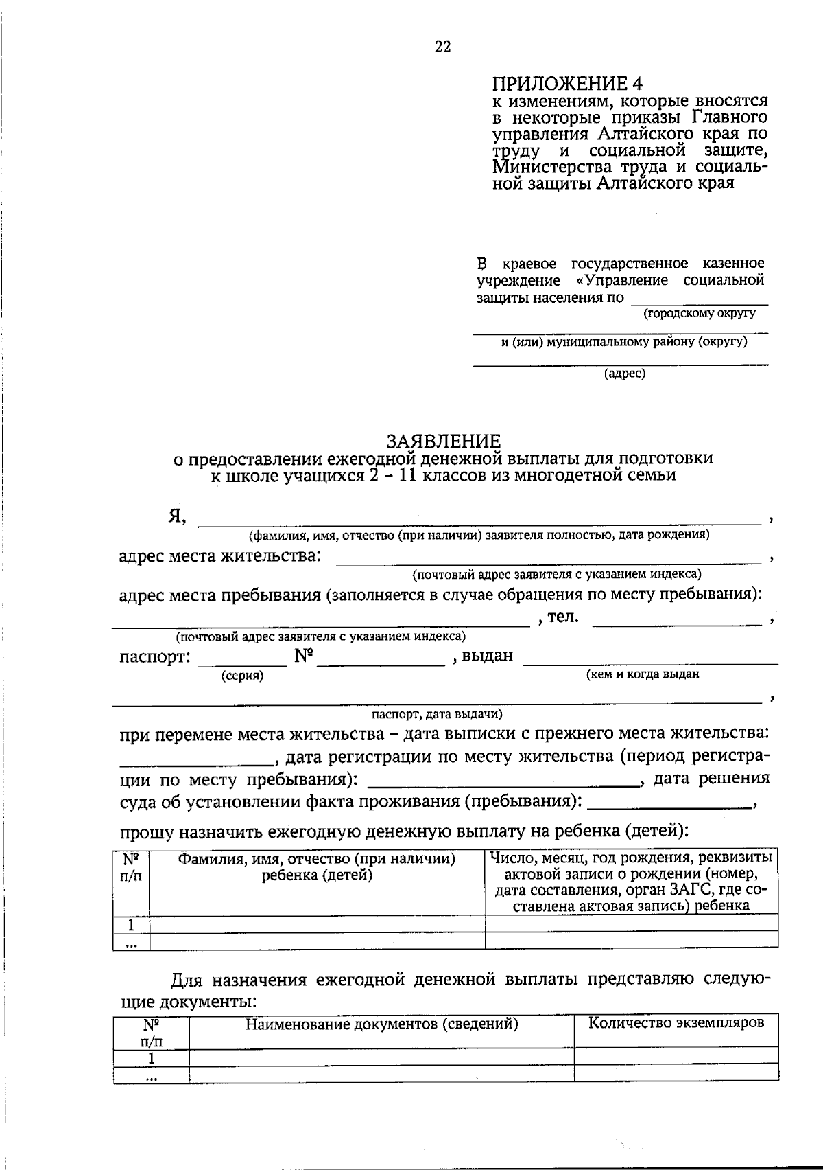
Приказ Министерства социальной защиты Алтайского края от 17.12.2025 № 27/Пр/977
"О внесении изменений в некоторые приказы Главного управления Алтайского края по труду и социальной защите, Министерства труда и социальной защиты Алтайского края"
(Зарегистрирован 18.12.2025 № 2010)
Номер опубликования: 2201202512180004
Дата опубликования: 18.12.2025
Страница №22 из 36:
Увеличить