Официальное опубликование правовых актов
ОФИЦИАЛЬНОЕ ОПУБЛИКОВАНИЕ
Решение Управления Алтайского края по государственному регулированию цен и тарифов от 10.12.2025 № 310
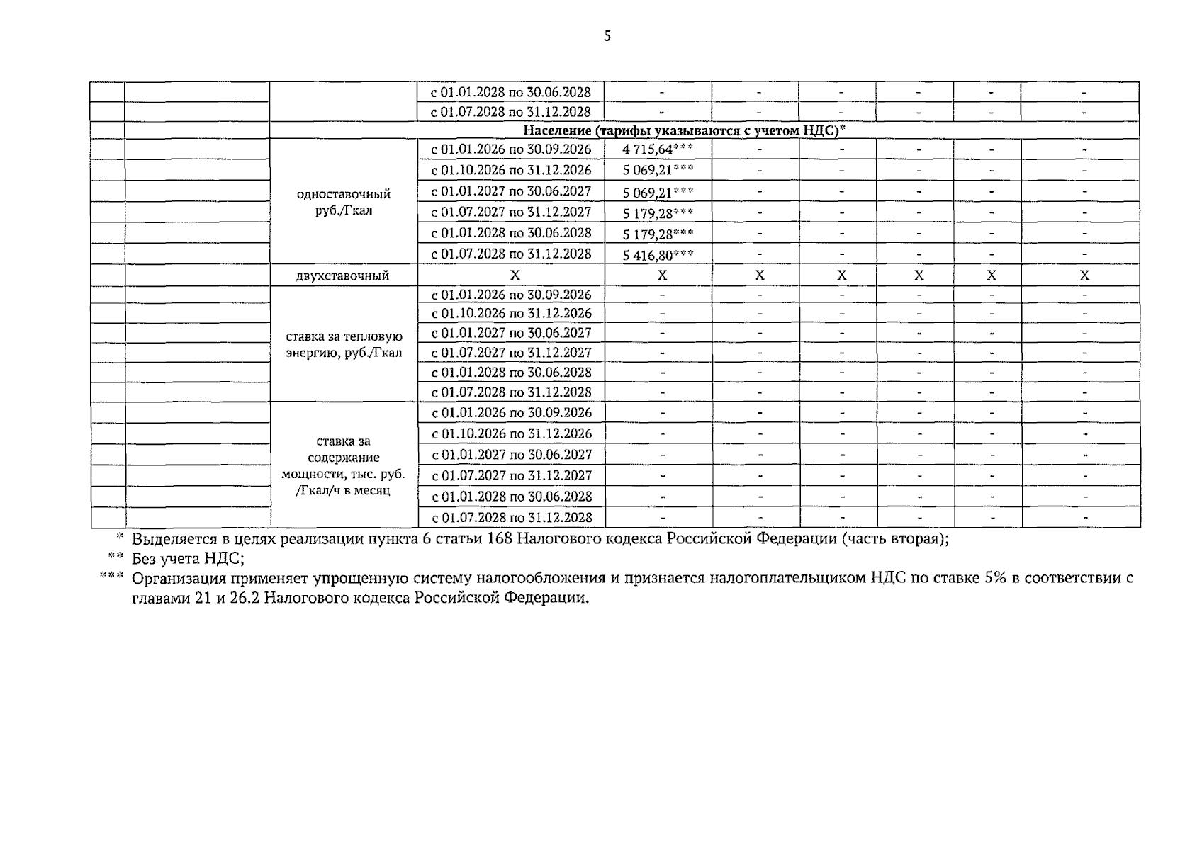
"Об установлении тарифов на тепловую энергию, поставляемую Муниципальным унитарным предприятием "Кытмановский коммунальщик Кытмановского сельсовета Кытмановского района Алтайского края" потребителям Кытмановского района Алтайского края, на 2026-2028 годы"
(Зарегистрирован 12.12.2025 № 1971)
Номер опубликования: 2201202512120032
Дата опубликования: 12.12.2025
Страница №5 из 5:
Увеличить