Официальное опубликование правовых актов
ОФИЦИАЛЬНОЕ ОПУБЛИКОВАНИЕ
Приказ управления Алтайского края по развитию предпринимательства и рыночной инфраструктуры от 13.11.2025 № 43/Пр/147
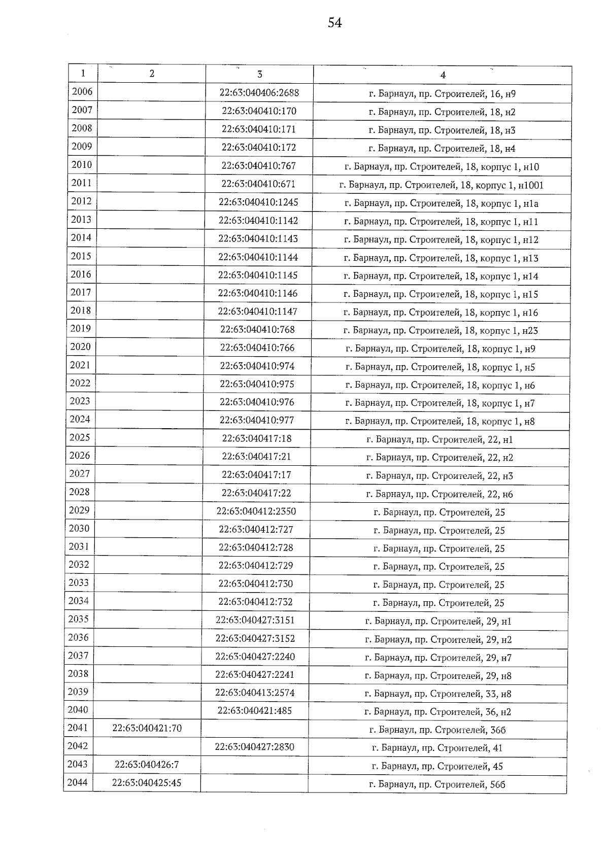
"Об утверждении перечня объектов недвижимого имущества, указанных в подпунктах 1 и 2 пункта 1 статьи 378.2 Налогового кодекса Российской Федерации, в отношении которых на налоговый период 2026 года налоговая база определяется как кадастровая стоимость"
(Зарегистрирован 14.11.2025 № 1651)
Номер опубликования: 2201202511140007
Дата опубликования: 14.11.2025
Страница №54 из 322:
Увеличить