Официальное опубликование правовых актов
ОФИЦИАЛЬНОЕ ОПУБЛИКОВАНИЕ
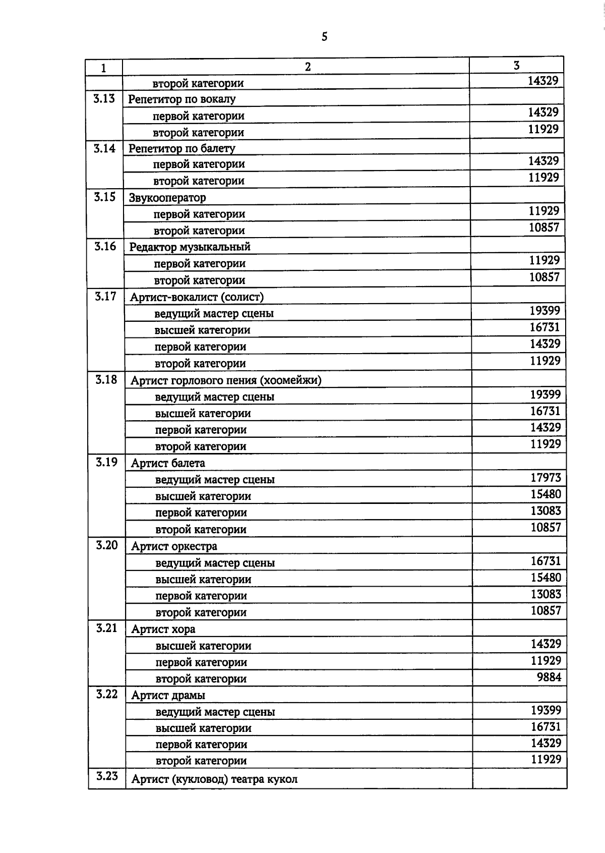
Приказ Министерства культуры Алтайского края от 28.10.2025 № 314
"О внесении изменений в приказ управления Алтайского края по культуре и архивному делу от 31.05.2018 № 154"
(Зарегистрирован 29.10.2025 № 1557)
Номер опубликования: 2201202510290003
Дата опубликования: 29.10.2025
Страница №5 из 21:
Увеличить