Официальное опубликование правовых актов
ОФИЦИАЛЬНОЕ ОПУБЛИКОВАНИЕ
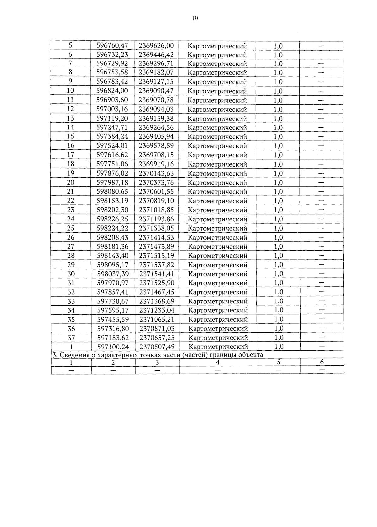
Приказ Министерства природных ресурсов и экологии Алтайского края от 06.10.2025 № 1043
"Об установлении зон санитарной охраны подземных источников питьевого и хозяйственно-бытового водоснабжения ТСН "Приозерное" (город Барнаул, Алтайский край)"
(Зарегистрирован 07.10.2025 № 1405)
Номер опубликования: 2201202510070006
Дата опубликования: 07.10.2025
Страница №10 из 12:
Увеличить