Официальное опубликование правовых актов
ОФИЦИАЛЬНОЕ ОПУБЛИКОВАНИЕ
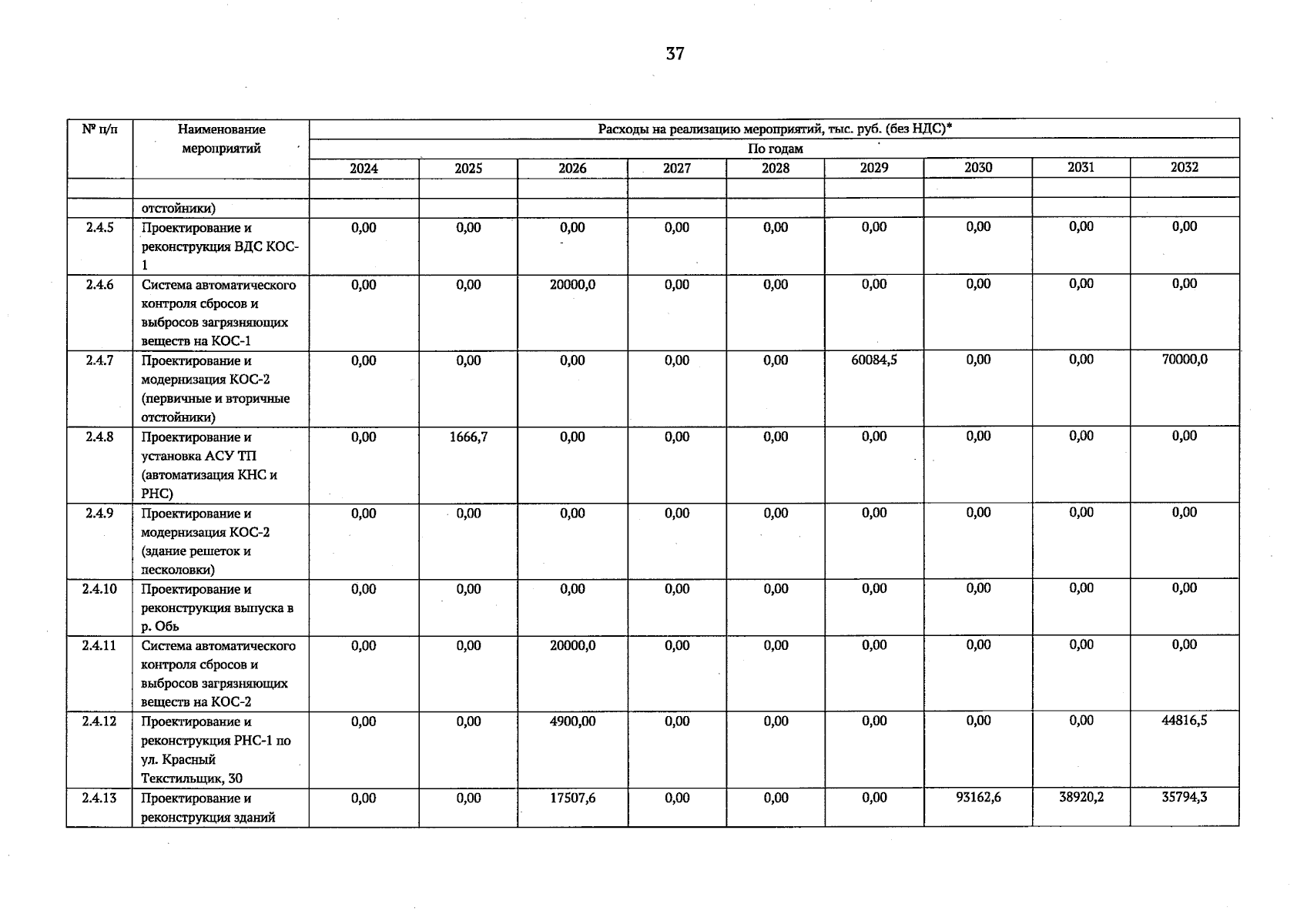
Приказ Министерства строительства и жилищно-коммунального хозяйства Алтайского края от 25.08.2025 № 712
"Об утверждении инвестиционной программы ООО "БАРНАУЛЬСКИЙ ВОДОКАНАЛ" в отношении систем и объектов водоснабжения и водоотведения города Барнаула Алтайского края и о внесении изменений в приказ Главного управления строительства, транспорта, жилищно-коммунального хозяйства Алтайского края от 27.11.2015 № 1197"
Номер опубликования: 2201202508260002
Дата опубликования: 26.08.2025
Страница №37 из 151:
Увеличить