Официальное опубликование правовых актов
ОФИЦИАЛЬНОЕ ОПУБЛИКОВАНИЕ
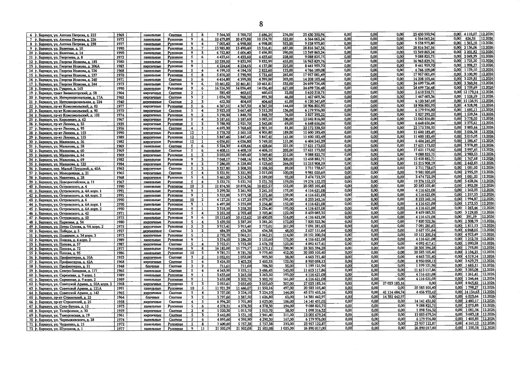
Приказ Министерства строительства и жилищно-коммунального хозяйства Алтайского края от 19.08.2025 № 706
"Об утверждении краткосрочного плана реализации в 2026 – 2028 годах краевой программы "Капитальный ремонт общего имущества в многоквартирных домах, расположенных на территории Алтайского края" на 2014 – 2043 годы"
(Зарегистрирован 19.08.2025 № 1183)
Номер опубликования: 2201202508190003
Дата опубликования: 19.08.2025
Страница №8 из 36:
Увеличить