Официальное опубликование правовых актов
ОФИЦИАЛЬНОЕ ОПУБЛИКОВАНИЕ
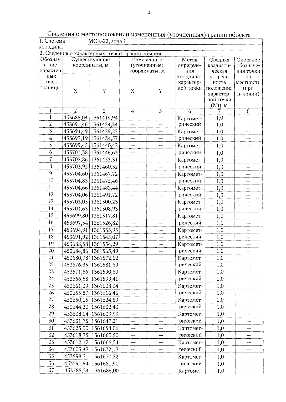
Приказ Министерства природных ресурсов и экологии Алтайского края от 06.08.2025 № 823
"О внесении изменений в приказ Министерства природных ресурсов и экологии Алтайского края от 21.05.2024 № 561"
(Зарегистрирован 06.08.2025 № 1121)
Номер опубликования: 2201202508060009
Дата опубликования: 06.08.2025
Страница №4 из 15:
Увеличить