Официальное опубликование правовых актов
ОФИЦИАЛЬНОЕ ОПУБЛИКОВАНИЕ
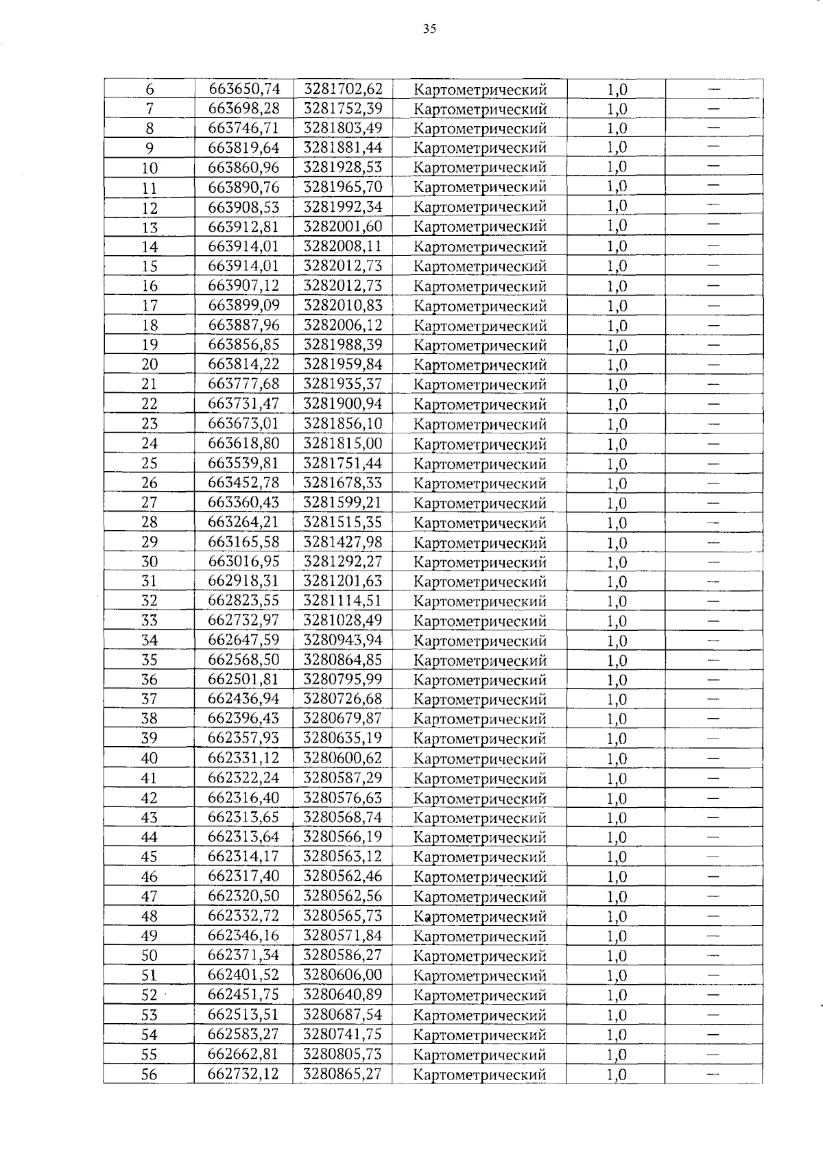
Приказ Министерства природных ресурсов и экологии Алтайского края от 08.07.2025 № 703
"Об установлении зон санитарной охраны подземных источников питьевого и хозяйственно-бытового водоснабжения ООО "Блиновское" (Заринский район, Алтайский край)"
(Зарегистрирован 08.07.2025 № 1006)
Номер опубликования: 2201202507080002
Дата опубликования: 08.07.2025
Страница №35 из 41:
Увеличить