Официальное опубликование правовых актов
ОФИЦИАЛЬНОЕ ОПУБЛИКОВАНИЕ
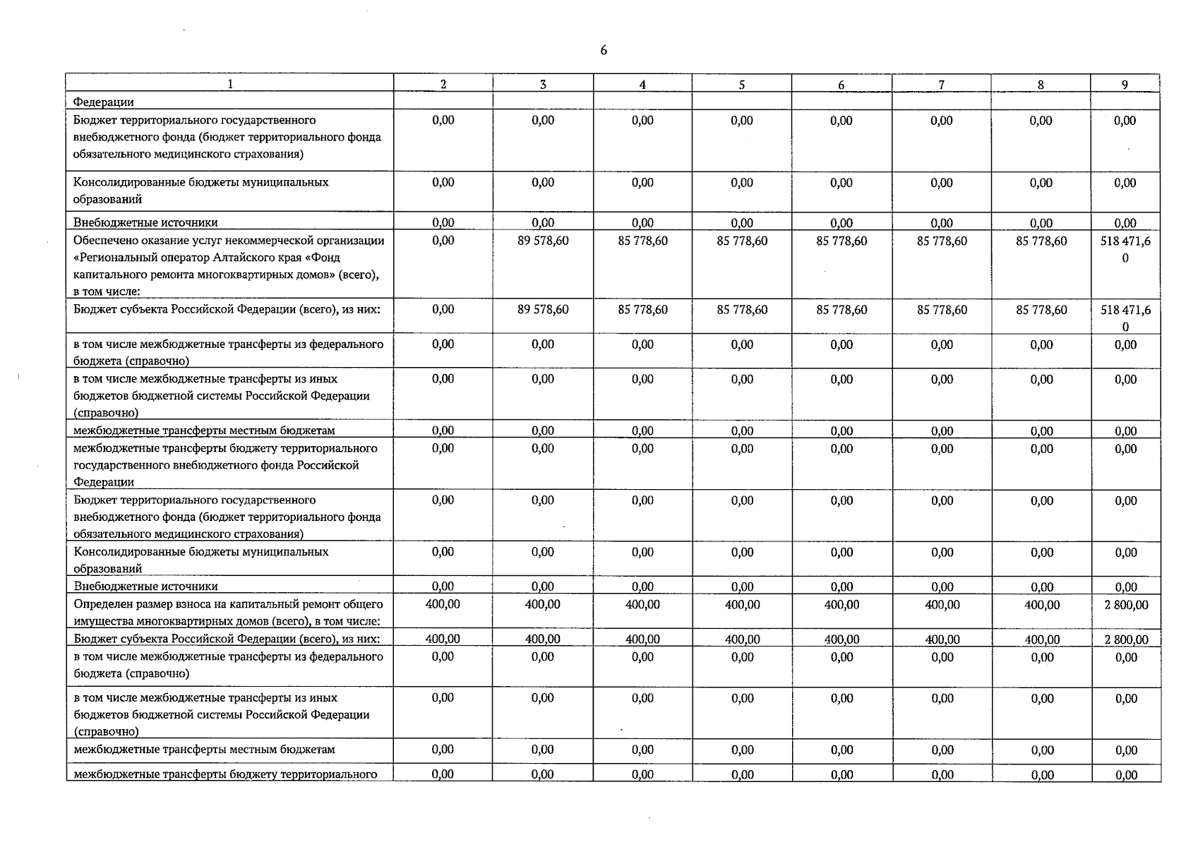
Приказ Министерства строительства и жилищно-коммунального хозяйства Алтайского края от 03.04.2025 № 222
"О внесении изменений в приказ Министерства строительства и жилищно-коммунального хозяйства Алтайского края от 28.12.2023 № 912"
(Зарегистрирован 03.04.2025 № 468)
Номер опубликования: 2201202504030006
Дата опубликования: 03.04.2025
Страница №6 из 25:
Увеличить