Официальное опубликование правовых актов
ОФИЦИАЛЬНОЕ ОПУБЛИКОВАНИЕ
Приказ Министерства здравоохранения Алтайского края от 28.03.2025 № 91
"О внесении изменений в приказ Министерства здравоохранения Алтайского края от 26.12.2023 № 600"
(Зарегистрирован 28.03.2025 № 435)
Номер опубликования: 2201202503280006
Дата опубликования: 28.03.2025
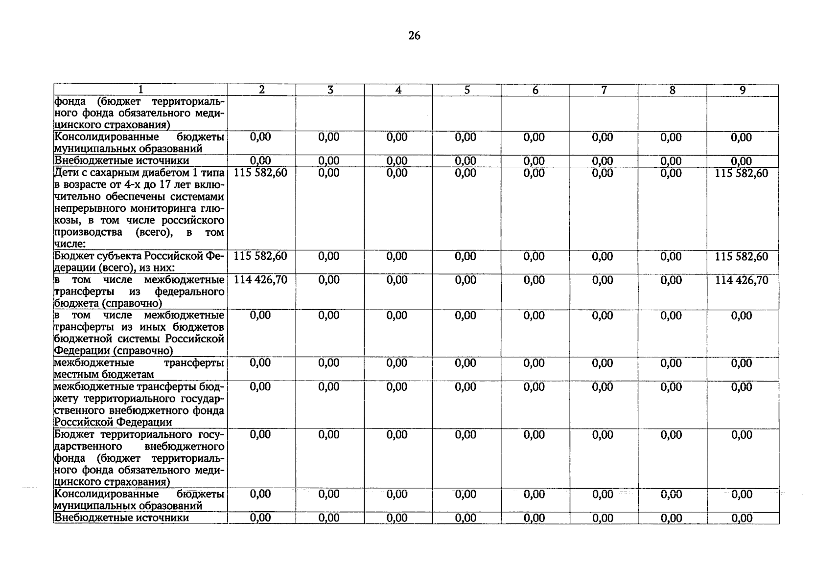
Страница №26 из 135:
Увеличить