Официальное опубликование правовых актов
ОФИЦИАЛЬНОЕ ОПУБЛИКОВАНИЕ
Приказ Министерства природных ресурсов и экологии Алтайского края от 26.02.2025 № 179
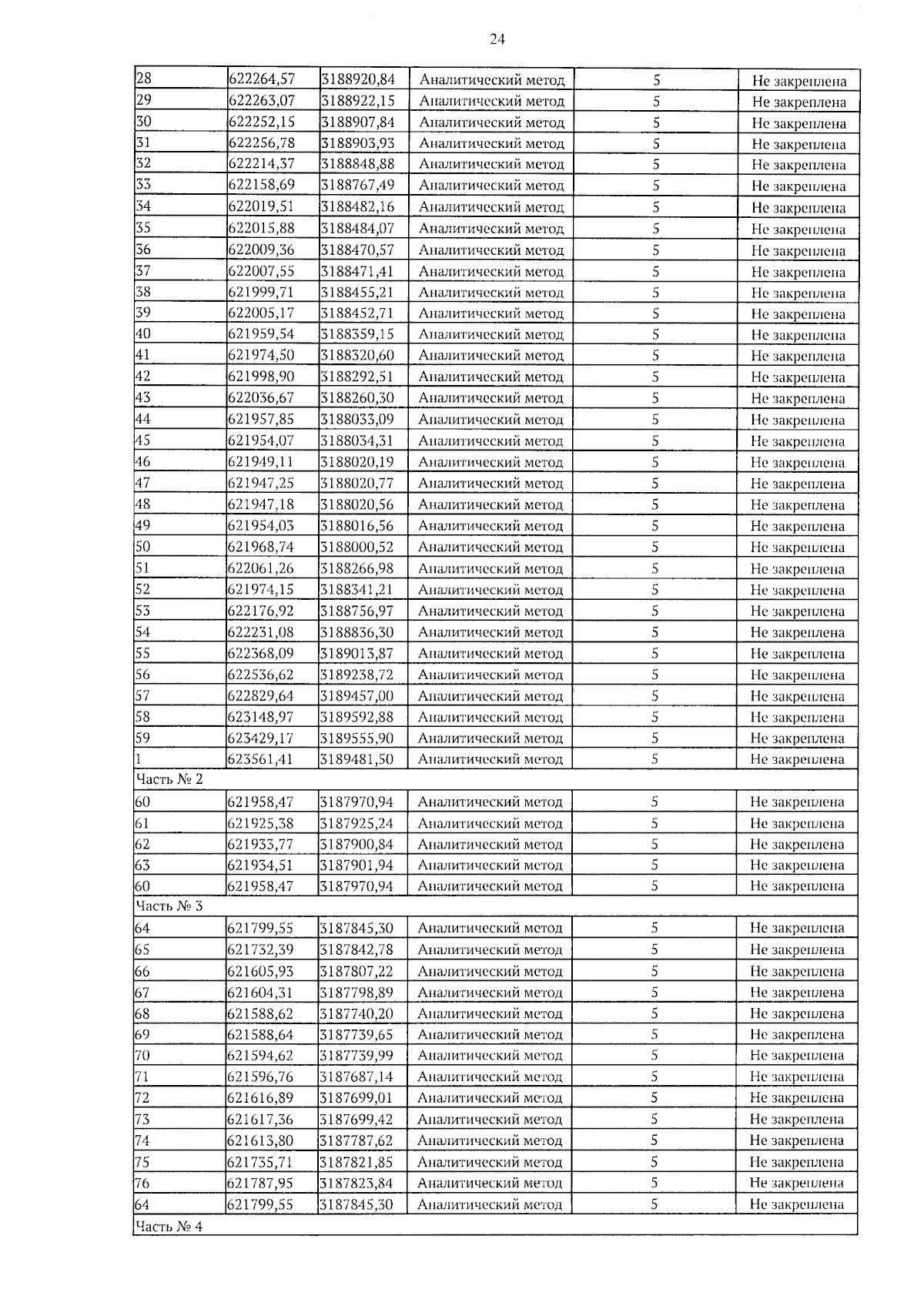
"Об изменении границ земель, на которых расположены леса, выполняющие функции защиты природных и иных объектов (леса, расположенные в лесопарковых зонах) Озерского и Бобровского лесничеств Алтайского края"
(Зарегистрирован 27.02.2025 № 224)
Номер опубликования: 2201202502270001
Дата опубликования: 27.02.2025
Страница №24 из 65:
Увеличить