Официальное опубликование правовых актов
ОФИЦИАЛЬНОЕ ОПУБЛИКОВАНИЕ
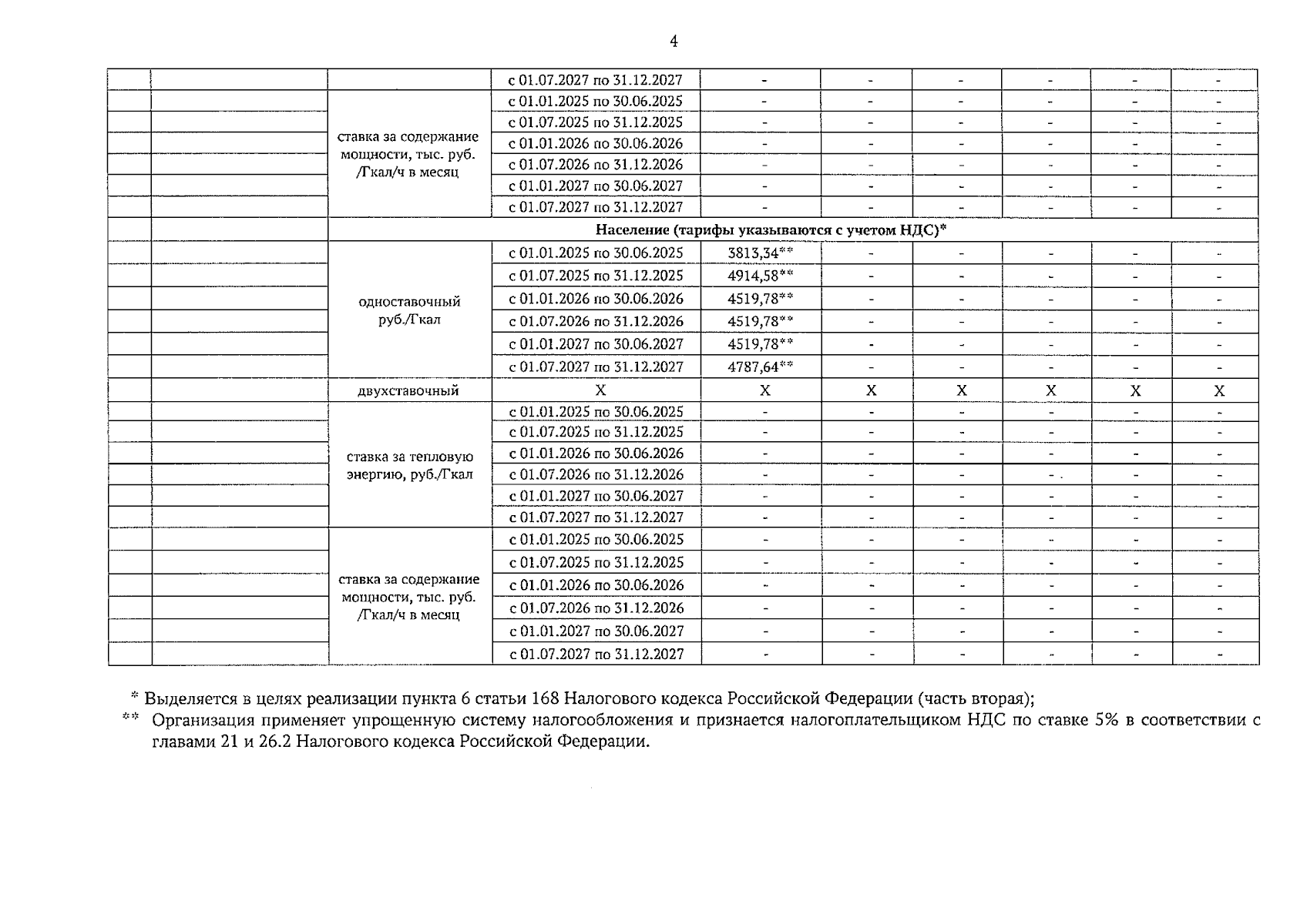
Решение Управления Алтайского края по государственному регулированию цен и тарифов от 26.02.2025 № 19
"О пересмотре тарифов на тепловую энергию, поставляемую муниципальным унитарным предприятием "Бурлинские коммунальные системы" Бурлинского района Алтайского края потребителям Бурлинского района Алтайского края, на 2025-2027 годы"
(Зарегистрирован 26.02.2025 № 217)
Номер опубликования: 2201202502260004
Дата опубликования: 26.02.2025
Страница №4 из 4:
Увеличить